以中日史料解读抗日战争: 东北人民革命军哈尔巴岭列车伏击战
作者: xyh007
时间:1935年5月2日
地点:吉林省敦化县哈尔巴岭
参战部队:东北人民革命军第2军独立师第1团和“平日军”、“天胜军”、“双盛”等义勇军,日军关东军第2独立守备队独立守备步兵第7大队第1中队乘车兵7名,满铁敦化警务段乘警7名。
中方资料1:在三五年春天三月日寇正在进行无情的第四期“讨伐”当中,我军乘敌人之不备,给以严重之打击。
延吉第一团第四连之一部及第五连,在其连长及政治指导员领导之下,联合了平日军、天胜军、双盛等义勇军,共计一百余人,计划在瓮声砬子站附近拆道劫车。在临车站附近时.即被查道员发现。我军为了使敌人不防备计,不能不当时退走,而另设计图。故当时我军离开此地,而另赴哈尔巴岭车站。此站附近地势险要,山岭林立,我军至此之后,行动稍有注意,即不易被人发现。所以我至此之后,首先计算到客车到该站之时间以前几十分钟,我军先将轨道拆开,使客车到来时,首先使机车出轨后,将全部列车颠覆,我军趁机予以痛击。因此,我军将轨道拆开以后,即将伏兵秘密布于四外山上,以掩敌人及行人之耳目,等待火车之到来。
果然未及半时,火车之汽笛在十余里之外不断的叫响,我军秘设之高山了望,客车才出站时,即观察清楚,此时通知全队及前后左右之伏兵阵线.使他们严守秘密,如为敌军发现,而破坏了这次的军事计划。又经10余分钟后,火车行至被拆坏之轨道前,司机并未发现,故机车已到,轰然颠覆。因铁道不高,全部列车即时停住。我军主力趁此全车内部混乱之际,目标向敌人之押车兵一齐开放。敌军因骤(措]手不及应枪声而被击毙者甚多。我军乘此机会,个个战士勇如猛虎持枪冲锋,当时喊杀之声轰动天地。使事先无准备之敌人,闻此激烈之声,已经不寒而栗。
我军一面冲锋,一面射击,冲至车前,敌人一部份之押车警察还未被击毙者,即举手缴枪。此时我军战士因愤气填胸,不管交不交枪,仍然向他们扫射。因此,敌人无法当即还击,因我军力众勇猛,敌人见势不支,即下车逃奔。此时,天胜军之炮头(王水),见手持轻机之日军向车外逃跑,他不顾一切的向前猛追,企图将敌人之轻机夺回。不幸,敌人见情势甚急,走逃无路,故停下脚步转身还击。此时天胜军之炮头,奋不顾身仍向前直追,并且大喊:“我们一定要夺取敌人的机关枪,我死也不放走敌人。”日军枪一开射,这个勇往直前而不怕牺牲的战士,即应声倒地,而将其最后的一滴鲜血撒在战场上了。
其他战士见王烈士之当场牺牲,而更愤慨万分,向前直冲,敌人此时四散奔逃并无法再追,此时即分配队伍,登车搜查。控查的结果,得着日本要人四名(南满铁道株式会社的主要干部之一,名字记不清楚),“满洲国”要人五名(名字不记得),高丽重要的走狗三名。日本贵家的青年女子两名,并在这些人身上,搜出十余万巨款,并其他的重要物品。我军搜毕之后,顾忌到我们力量薄弱,敌军若从两边车站派来援兵,我军有受到敌人威胁的危险。所以我军立刻下令将四外的卡子集合,将所抓得的这些日“满”韩三国要人,用绳联贯着绑了一串,号声一响,即列队而归。
在当时日本的一个青年女子,坚持不走,我军当场将其击毙。以后其他的那些人都在我大军掩护之下,凯旋而归了。
这次战役的结果,我军只牺牲了天胜军之炮头王水烈士,再有两三人受轻伤。敌人死伤四十名以上。我军因未详细搜查只得步枪数支,子弹不多。所得的胜利较大者,即系一批巨款和十几个重要的人物。可惜,因人民革命军过于信人,在设伏兵时重要的路口,都为人民革命军所卡守。至于组织的搜车班,大部分都是义勇军的部队。因此,将这批巨款搜出之时,有两小帮义勇军(绰号记不清楚),当场即携款潜逃。此时人民革命军的战士大部在四外设卡,亦无法追迹。
自此案发生之后,满洲各大报纸,都大字标题:“吉会铁路哈尔巴岭车站之共匪劫车案”,到处登载。当时殊为日寇所注目,特别是抓了日寇的这些要人,更为日寇所不甘心。因此我军虽然胜利的凯旋而归,敌人却到处调兵遣将,昼夜不安。所以,事变发生之第二日,敌人即在瓮声砬子站集中了300余正式日军,由遭事地点,跟踪追击。我军因此时给养困难,弹药缺乏,在任何方面亦无力与敌抗战。所以,此时将所抓的那些日“满’韩三国要人,送至林内隐蔽起来,人民革命军和平日军、天胜军等几部分,各派两三人去看守他们,各部军队即就地分开了。
我们无论怎样分开,敌人之搜索“讨伐”,仍然继续,并且军队日加,追击益甚。所以我军遇着即打几枪至敌人散开时,我军仍走。这样徒劳敌人之兵力,其“讨伐”无有任何之结果。
虽然我军所得胜利,敌人之“讨伐”又无结果,可是因其委派工作人员不加谨慎,对其他义军,也过于相信。以致在分配人看差的时候,人民革命军人数极少(又是高丽同志),其他义勇军内人多,这些敌人在内部,用各种的巧言花语,来欺骗那些不坚定的中国人。所以他们在看差时,对敌人缚绑甚松,值班时睡觉(义勇军的人)。此时敌人一个先将自己的绳解开,然后将所有的人都解开。在此时,不值班者固然睡觉,值班者亦末发觉,所以敌人首先将值班者之手枪夺取手里,当时将值班者击毙,其他敌人将别人的枪也抢在手里,结果将看差的打死几人,还余几人,抛弃武装亦逃走了。敌人此时见事已成,即持枪逃走。至我军知道之后,再派军追击已经来不及了。但在林内搜索之结果,日人有两个最主要的人,因迷失方向,未逃出去。所以当时将其抓住,立刻枪毙。
这次工作的结果,开始时给了我军一种好的经验,但后来的结果,又给了我军一种血的教训。所以几年的游击战争,也就是在这些好的坏的经验教训当中锻炼出来的。
这次的损失,影响到第二军的全部发展,因为敌人对间岛的经济封锁非常的残酷。所以二军的经济也异常的困难。抓的这部分人如果不跑,最低限度保证一二百万的现款。
因此时日军“讨伐”、搜索无有结果,所以日本当局不得不采取妥协的办法,用钱来抽赎(平常抓着不甚重要日“满”走狗绝对不让赎),所以先派人至我军延吉第一团部交涉,除去供给枪炮以外,任何的条件都愿意接收。延吉团部,当时提出以三百万日军现款,物品在外,做交换条件。日“满”当局所派之代表回去不久,我军部亦下令延吉团部,供日“满”当局,所派之代表,直接向军部交涉,在此中间敌人已跑[1]。





抗联第一路军一九三二年至一九四0年主要战斗统计表(节选)
中方资料2:5月1日6时10分,第202次国际列车从朝鲜清津站始发,由机车及8辆行李车、客车组成。经南阳站过图们江,到达图们站时晚点25分钟。23时,列车从图们站出发,火车司机金公堂、司炉刘俊奎、见习司炉曹祯,列车乘务队长田代武,运转车长纪裕如。担任保卫列车安全任务的是独立守备步兵第七大队第一中队乘车兵7名,敦化警务段“乘警长佐藤忠义巡长,铃木文一、新井三千彦、李福林巡长,徐仁、张德润、葛文富巡警。[2]”5月2日2时,负责巡查线路安全的日军铁道守备队先驱车通过后,伏击部队拔掉新京往图们方向线路左侧一根半铁轨外侧的道钉10余枚,然后挪开连接铁轨的鱼尾板。2时25分机车脱线,因为惯性向前方运动60米左右,倾覆在路基左侧,司机金公堂被压死,司炉刘俊奎面部严重烧伤后死亡。第二辆行李车、第三、四辆客车出轨倾斜。处在最后客车厢的车长纪裕如,在列车脱线停车、听到前边响起的枪声,下车后向车前部跑去,因为离伏击部队很近感到危险,转身向哈尔巴岭站方向奔跑30余米,被联合部队的监视哨发现并捕获后,寻机逃跑到哈尔巴岭车站,向韩副站长报告情况。日军从大石头、明月沟出发救援。战斗进行了约30分钟,抗日军联合部队撤离现场[3]。
中方资料3:1934年秋、冬至1935年初日军动用大量兵力,对通化、哈东、东满、绥宁等地区发动了为期4个月的秋冬季大“讨伐”。人民革命军第2军为了粉碎日伪军的大“讨伐”,主动撤离了部分根据地和游击区,大部转移到安图县车厂子一带,另一部进至宁安县南湖头。1935年春,根据中共满洲省委指示,第2军除少数兵力在原游击区开展活动外,其余兵力分别向安图、额穆和宁安、东宁等地发展,开辟新游击区扩大游击活动范围。人民革命军第2军第1团主力在团长安凤学、政委周树东的率领下,4月下旬开始从安图县车厂子出发,向敦化、额穆、蛟河地区进军。途中,为了打击日军的嚣张气焰,扩大抗日影响,决心袭击日伪国际列车,破坏其交通运输。第1团把这一任务交给了第5连及第4连一部并联合部分义勇军来实施。经过周密侦察,将伏击地点选择在哈尔巴岭与大石头车站之间371公里处。这里山高林密地势险要,铁路两侧地形隐蔽,利于配置兵力又便于部队进出。5月1日夜间,在第5连连长全哲镇率领下,由第5、4连一部和“平日军”、“天胜军”、“双盛”等义勇军共100余人组成的联合伏击队,隐蔽进入设伏地点,分4个战斗组分别埋伏在铁路两侧。午夜过后,开过来1辆验道的装甲车,由于设伏部队隐蔽得好,日军装甲车丝毫没有发现,继续向前开去。5月2日2时左右,设伏部队将铁轨折开了一段。2时40分,从朝鲜清津始发,直达伪“新京”(今长春)的202次国际列车驶入了设伏地域。随着一声巨响,机车颠覆在路基的一侧,后面车厢有的脱轨倾倒,有的相互碰撞,车厢内人员吱哇乱叫。乘混乱之机,伏击部队立即开火。在猛烈火力打击下,押车的日本警备队和警察没来及弄清情况,有的就中弹倒下,有的盲目还击。接着伏击部队发起了攻击,预先毫无准备的日伪军听到震撼山谷的“杀”声,不寒而栗。有的举手投降,有的夺命逃窜,企图顽抗的纷纷被击毙,不到1个小时,战斗全部结束。共毙伤日伪军40余人,活捉日本官员4人,伪满要人5名,还有日本官员子女2人,朝鲜走狗3人,并缴获大量军用物资。人民革命军这一胜利给日伪军沉重打击,震惊了日伪统治当局,日伪报刊纷纷刊登这一消息,哀叹这次事件是“京图线开通以来最大的惨事”。第二天日军在瓮声砬子车站集中300余兵力赶到哈尔巴岭,而人民革命军带着胜利品早已安全转移。 (彭可时)[4]
日方资料:昭和10年5月2日午前2时30分,吉林省京图线哈尔巴岭站至大石头站间(距新京371千米处),鲜人共匪80名(东北人民革命军第一师部队)及职业匪约100名(明山好、天良配合下)的联合部队(以吉林省敦化县及间岛省延吉县为根据地),计划“五一”节期间行动,利用哈尔巴岭车站西北方3千米地点的曲线部,在图们发往新京202次国际列车先驱车午前2时同一地点通过后十余分的时间,以一部约20名在线路南侧山上,其他在北侧平地潜伏。当机车及前部3辆车脱线颠覆后,南侧山上的部队射击,北侧匪贼呼应,列车被掠夺暴虐约30分钟,乘客、乘务员、警乘兵多数被杀伤、战死,匪遗弃尸体3具,拉走人质15名,向同地北方的黄泥河子方向逃走。
被害状况:
死者计12名,其中日军下士2名、兵4名战死。(外满人1名)
重伤者计8名,其中警乘兵5名。(外满人2名)
轻伤者计4名(邦人3名、鲜人1名)。(外满人5名)
拉走人质者计11名。(外满人4名)。



当日5时25分,从敦化发出救援列车,派遣警务段长以下17名,对死伤者进行收容。敦化警备队在哈尔巴岭设立临时讨伐队本部,出动官兵120名,追击向黄泥河子撤退的匪贼。其后驻敦化的田中、中川、金泽(注:独立守备步兵第8大队第4、第1、第3中隊),驻延吉的吉良(注:独立守备步兵第8大队第2中隊)、槇(注:独立守备步兵第7大队第3中隊)诸部队均归敦化警备队长松井(注:独立守备步兵第8大队长松井贯一中佐)统一指挥加入追剿。3日,讨伐队全力向匪根据地草皮磖子追击,同时飞行队也于2日以来出动飞机配合。5日,槇部队在延吉县西北岔北方10千米约三十名匪贼交战,发现鲜人人质遗弃的给家人信件十封。因草皮磖子再度降雪,匪贼分散逃入山林,事实上无法通过足迹发现其行踪,讨伐队只得将少数兵员會同伪满警察队员组织数个化装挺身队,继续在沙河上流寻找人质。5月12日,除留一部留置在敦化高丽窝外,其余部队撤回。
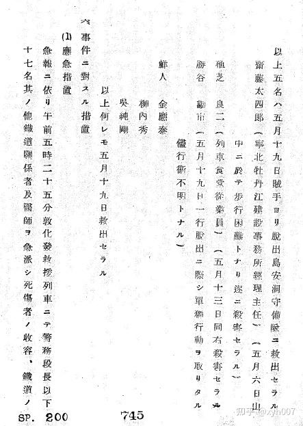
5月6日,间岛总领事馆从所属各署选拔优秀特务巡查内地人二名、鲜人三名,进行解救人质的工作。5月15日,以木材商人为中介,尝试支付赎纳金救出人质。但5月19日午后2时半,被绑架者野堀幸与其他绑架者合作杀死监视的匪贼6名,逃归到延吉县安洞。根据野堀幸的报告,当地守备队在西北盆地将田代武、相场妙子、岩城长次、池田彰政、金应泰、柳内秀救出。胜谷勋市逃脱后,采取单独行动,因途中方向错误,行踪不明。鲜人吴纯刚及满人3名,于同日晚7时回到哈尔巴岭火车站[5]。

独立步兵第7大队略历记载